আমাদের আজকের আলোচনার বিষয় – গলদা নার্সারি ব্যবস্থাপনা পদ্ধতি । যা ” গলদা চিংড়ির নার্সারি ব্যবস্থাপনা ” অধ্যায়ের অন্তর্ভুক্ত ।
শিক্ষা জাতীয় জীবনের সর্বতোমুখী উন্নয়নের পূর্বশর্ত। দ্রুত পরিবর্তনশীল বিশ্বের চ্যালেঞ্জ মোকাবেলা করে বাংলাদেশকে উন্নয়ন ও সমৃদ্ধির দিকে নিয়ে যাওয়ার জন্য প্রয়োজন সুশিক্ষিত-দক্ষ মানব সম্পদ। কারিগরি ও বৃত্তিমূলক শিক্ষা দক্ষ মানব সম্পদ উন্নয়ন, দারিদ্র বিমোচন, কর্মসংস্থান এবং আত্মনির্ভরশীল হয়ে বেকার সমস্যা সমাধানে গুরুত্বপূর্ণ অবদান রাখছে।
বাংলাদেশের মতো উন্নয়নশীল দেশে কারিগরি ও বৃত্তিমূলক শিক্ষার ব্যাপক প্রসারের কোনো বিকল্প নেই। তাই ক্রমপরিবর্তনশীল অর্থনীতির সঙ্গে দেশে ও বিদেশে কারিগরি শিক্ষায় শিক্ষিত দক্ষ জনশক্তির চাহিদা দিন দিন বৃদ্ধি পাচ্ছে। এ কারণে বাংলাদেশ কারিগরি শিক্ষা বোর্ড কর্তৃক এসএসসি (ভোকেশনাল) ও দাখিল (ভোকেশনাল) স্তরের শিক্ষাক্রম ইতোমধ্যে পরিমার্জন করে যুগোপযোগী করা হয়েছে।
গলদা নার্সারি ব্যবস্থাপনা পদ্ধতি

গলদা নার্সারি পুকুরে রেণু /পিএল ছাড়ার পর দ্রুত দৈহিক বৃদ্ধির মাধ্যমে এরা সুস্থ ও সবল জুভেনাইল-এ পরিণত হয়। অল্প গভীরতা সম্পন্ন জলাশয় রেণুপিএল প্রতিপালনের জন্য নার্সারি পুকুর হিসেবে ব্যবহার করা হয়। রেণু/পিএল বড় হওয়ার সাথে সাথে এদের বেশি জায়গার প্রয়োজন হয়। গলদার নার্সারি কার্যক্রমে এক তর পদ্ধতিতে এর ব্যবস্থাপনা করা হয়।
পুকুর প্রস্তুতি: পিএল উপযোগী নার্সারি পুকুর প্রভৃতি কাজের ধাপগুলো নিচে সংক্ষেপ উল্লেখ করা হলোঃ
ক) আগাছা পরিষ্কার ও পাড় সংস্কার এবং পাড়ের উপর ডালপালা পরিষ্কার
খ) রাক্ষুসে ও অবাঞ্ছিত মাছ দুরীকরণ
> পুকুর উত্তমরূপে শুকিয়ে তলার কাদা অপসারণ করতে হবে অথবা।
> বিষ প্রয়োগ ও ৯.১% শক্তি সম্পন্ন রোটেনন পাউডার ২৫ গ্রাম/শতাংশ/ফুট পানি প্রয়োগ করতে হবে এবং বিষক্রিয়া ৭ দিন পর্যন্ত বজায় থাকে।
গ) চুন প্রয়োগ: ১ কেজি পাথুরে চুন/শতাংশ
ঘ) চুন প্রয়োগ: সার প্রয়োগ ও প্রতি শতাংশে জৈব সার ১০ কেজি, ইউরিয়া ১৫০ গ্রাম ও টিএসপি ৭৫ গ্রাম প্রয়োগ করতে হবে। উপরে বর্ণিত কাজগুলো কার্প জাতীয় রেণু পোনার নার্সারি পুকুর প্রস্তুতির মতই সম্পন্ন করতে হবে।
ঙ) আশ্রয়স্থল স্থাপন: গলদা চিংড়ির পিএল-এর দৈহিক বৃদ্ধি প্রক্রিয়া ভিন্নতর। চিংড়ির পিএল খোলস বদলানোর মাধ্যমে বৃদ্ধি পায়। খোলস বদলের সময় চিংড়ি দুর্বল থাকে। এ সময় সবল চিংড়ি অর্থাৎ যেগুলো খোলস বদলায় না সেগুলো দুর্বলগুলোকে খেয়ে ফেলতে পারে।
এজন্য চিংড়ি নার্সারি ব্যবস্থাপনায় আশ্রয়স্থল স্থাপনের বিশেষ ব্যবস্থা নেয়া প্রয়োজন যাতে অন্য প্রাণী বা চিংড়ি দ্বারা আক্রান্ত হওয়ার আশঙ্কা না থাকে। পুকুরের তলায় কিছু জলজ উদ্ভিদ থাকলে (হাইড্রিলা, নাজাস) তা চিংড়ির আশ্রয়স্থল হিসেবে কাজ করে।
আশ্রয়স্থল হিসেবে ব্যবহৃত উপকরণঃ
- শুকনো তাল বা নারিকেলের পাতা/খেজুর পাতা
- বাঁশের কঞ্চি/বাঁশের চোঙ্গা
- প্লাস্টিকের ফাঁপা পাইপ
- ভাঙা কলসের অংশ
- পাছের ডাল (হিজল গাছের ডাল উত্তম)
আশ্রয়স্থল স্থাপন কৌশল: তাল বা নারিকেলের পাতা এমনভাবে মাটিতে পুঁতে দিতে হবে যাতে পাতার অংশ মাটি থেকে একটু উপরে থাকে। এ ক্ষেত্রে তাল বা নারিকেলের পাতা কোপাকোপি (৪৫০) পুঁতে দিলে আশ্রয়স্থল হিসেবে বেশি জায়গা পাওয়া যাবে এবং পাতাগুলো মাটির উপর থাকলে সহজে পচবে না। বাঁশের কঞ্চি আটি বেঁধে অথবা প্লাস্টিকের পাইপ পৃথক পৃথকভাবে পুকুরের তলায় মাটির উপর রেখে দিতে হবে। খেজুরের পাতা আঁটি বেঁধে দেয়া যায়।
আশ্রয়স্থল স্থাপনের পরিমাণ: পিএল মজুদের ১-২ দিন আগে তাল, নারিকেল বা খেজুর পাতা প্রতি শতাংশে ১-২ টি হিসেবে স্থাপন করতে হবে। অন্যান্য উপকরণগুলো আনুপাতিক হারে ব্যবহার করতে হবে।
পিএল-এর বাহ্যিক বৈশিষ্ট্য
১. পিএল-এর চেহারা ও আচরণ লার্ভা থেকে পৃথক।
২. পিএল দেখতে পূর্ণাঙ্গ চিংড়ির মতো দেখায় যারা সম্মুখ দিকে চলাচল করে।
৩. পিএল ট্যাংকের দেয়াল বা মেঝেতে আঁকড়ে থাকে।
পিএল গণনা: পিএল ট্যাংক থেকে কুপনেট অথবা ছাঁকুনির সাহায্যে পিএল গণনার সাদা চামুচে পিএল নিয়ে ১ চামুচে পিএল এর সংখ্যা গণনা করতে হবে। এভাবে কয়েকটি নমুনা করে এক চামুচে পিএল-এর গড় সংখ্যা নির্ধারণ করতে হবে এবং এ সংখ্যার উপরে ভিত্তি করে প্রতিটি পলিথিন প্যাকেটে পিএল নিতে হবে এবং পরিবহন করতে হবে। পিএল-এর আকার ও প্রতিটি পলিথিন ব্যাগে পিএল নেওয়ার সংখ্যার উপরে নির্ভর করে এ চামুচের আকার ছোট-বড় করতে হবে।
পিএল প্যাকিং এবং পরিবহন
অক্সিজেনযুক্ত পলিথিন ব্যাগে পিএল প্যাকিং ও পরিবহন করতে হবে। পলিথিন ব্যাগে পিএল প্যাকিং করার পদ্ধতি নিম্নরূপ
> পিএল প্যাকিং এর কাজে দুইটি পলিথিন ব্যাগ একটির ভেতরে আরেকটি ব্যবহার করতে হবে।
> প্রতিটি পলিথিন ব্যাগের আকার ৩৬”x২০” হওয়া দরকার।
> ভিতরের পলিথিন ব্যাগটির দুইটি কোণা রাবার ব্যান্ড দিয়ে বাঁধতে হবে যেন ভাঁজের সৃষ্টি হয়ে পোনা মারা যেতে না পারে।
> পলিথিন ব্যাগের এক-তৃতীয়াংশ ৪-৫ লিটার পানি দ্বারা পূর্ণ করতে হবে। এ পানির গুণাগুণ পিএল ট্যাংকের পানির গুণাগুণের অনুরূপ হতে হবে।
> পলিথিন ব্যাগে নির্দিষ্ট পরিমাণ পিএল নেওয়ার পরে এর বাদবাকি দুই-তৃতীয়াংশ অক্সিজেন দ্বারা পূর্ণ করতে হবে।
> পর্যায়ক্রমে দুইটি পলিথিন ব্যাগের মুখ গার্ডার বা সুতলি দিয়ে ভাজ করে বাঁধতে হবে।
> পরিবহনে বেশি সময়ের প্রয়োজন হলে তাপমাত্রা সহনীয় অবস্থায় রাখার জন্য রাতে পরিবহন করা ভালো। তবে জাইরোফোমের বাক্সে পলিথিন ব্যাগ পরিবহন করা হলে পিএল-এর পানির তাপমাত্রা বাহ্যিক তাপমাত্রার প্রভাব থেকে মুক্ত থাকে।
> পরিবহনকালীন সময়ের উপরে নির্ভর করে প্রতি ব্যাগে ১০০০-৩০০০টি পিএল পরিবহন করা যেতে পারে।
পরিবহনকালীন সময়ের উপর নির্ভর করে প্রতি লিটার পানিতে কি পরিমাণ পিএল-১০ পরিবহন করা যায় তা নিচে ছক আকারে উল্লেখ করা হলো:
| ক্রমিক নং | পরিবহনকালীন সময় (ঘন্টা) | পিএল-এর সংখ্যা/লিটার |
| ১ | ১ ঘন্টা | ৫০০-৬০০ |
| ২ | ৪ ঘন্টা | ৪০০-৫০০ |
| ৩ | ৮ ঘন্টা | ৩০০-৪০০ |
| ৪ | ১২ ঘন্টা | ২৫০-৩০০ |
| ৫ | ১২ ঘন্টার বেশি | ১৫০-২০০ |
গলদা চিংড়ি চাষের এলাকা বৃদ্ধির লক্ষ্যে স্থানীয়ভাবে গুণগত মানসম্পন্ন জুভেনাইলের প্রাপ্যতা নিশ্চিত করার জন্য নার্সারি পরিচালনায় উদ্যোক্তা সৃষ্টির উদ্দেশ্যে সম্প্রসারণমূলক কার্যক্রম জোরদার করতে হবে। এর আওতায় লিফলেট, পোস্টার, মাইকিং, ব্যক্তি-যোগাযোগ ইত্যাদির মাধ্যমে হ্যাচারিতে উৎপাদিত পিএল বাজারজাতকরণের সুযোগ সম্প্রসারণ করা সম্ভব হতে পারে।
সুস্থ-সবল লার্ভার বৈশিষ্ট্য
১. পানির উপরের তরে অবস্থান করে বিশেষত ১ম থেকে ১০ দিন
২. খাবার সরবরাহ করার পর পরই খাবারের জন্য ছুটাছুটি করতে থাকে
৩. রং লালচে বাদামি
৪. স্বজাতি ভক্ষক নয়
৫. মাথা নিচু করে পিছনের দিকে সাঁতার কাটে
৬. চলাফেরায় স্পর্শ পেলে লাফ দেয়
৭. সক্রিয়ভাবে সঁতরায় এবং ট্যাংকের তলায় স্থির থাকে না
অসুস্থ-দুর্বল লার্ভার বৈশিষ্ট্য
১. রং নীলাভ/কালচে ধরনের
২. খাবারের প্রতি অনীহা পরিলক্ষিত হয় অর্থাৎ খাবার গ্রহণ করতে চায় না
৩. ট্যাংকের তলায় পড়ে থাকতে দেখা যায়
৪. নিম্নমুখী আঁকা বাঁকা পথে এলোমেলোভাবে সাঁতরায়
স্বাস্থ্যবান সবল পিএল-এর বৈশিষ্ট্য
১. সুস্থ সবল পিএল এর এন্টিনিউল সোজা সমুখদিকে বিস্তৃত থাকে এবং পুচ্ছ পাখনা বা Uropode সুন্দরভাবে থাকে।
২. সুস্থ সবল পিএল-এর পরিপাকনালী সর্বদা খাদ্যে পরিপূর্ণ থাকে এবং উদরাঞ্চলের পেশীসমূহ সুগঠিত থাকে
৩. সুস্থ সবল এবং উন্নতমানের পিএল-এর শরীর স্বচ্ছ, মসৃণ ও পরিষ্কার থাকে।
৪. সুস্থ সবল পিএল এর শরীর ক্ষতবিক্ষত থাকে না এবং উপাঙ্গসমূহ অসম্পূর্ণ বা কাটাছেড়া থাকে না
৫. দেখতে পূর্ণাঙ্গ চিংড়ির মত, তারা চলার দিক পাল্টিয়ে সম্মুখের দিকে চলতে শুরু করে
৬. ট্যাংকের দেয়াল আকড়ে থাকে।
চ) পিএল মজুদকরণঃ নার্সারি পুকুর ব্যবস্থাপনার উপর ভিত্তি করে পুকুরে পিএল মজুদ ঘনত্ব নির্ধারণ করা হয়। পুকুরে শুধু সার ব্যবহারে মজুদ ঘনত্ব কিছু কম এবং সার ও খাদ্য দুই-ই ব্যবহারে মজুদ ঘনত্ব কিছু বেশি হতে পারে। আবার পুকুরে পানি বদল ও বায়ু সঞ্চালন ব্যবস্থা থাকলে মজুদ ঘনত্ব আরও বেশি হবে। উল্লিখিত বিষয় বিবেচনায় শুধু প্রাকৃতিক খাদ্য, মানসম্মত সম্পূরক খাদ্য ও ব্যবস্থাপনা সময়ের ওপর নির্ভর করে শতাংশ প্রতি মজুদ ঘনত্ব কম বেশি করা যায়।
নার্সারি পুকুরে প্রতি শতাংশে পিএল মজুদ ঘনত্ব নিম্নরূপ:
এক মাস ব্যাপী মজুদের ক্ষেত্রে ২০০০-৩০০০ টি এবং
দুই মাস ব্যাপী মজুদের ক্ষেত্রে ১৫০০-২০০০ টি
ছ) পিএল অবমুক্তকরণঃ পরিবেশের তাপমাত্রা ও অক্সিজেনের তারতম্যের কারণে মজুদের পর পিএল ব্যাপক হারে মারা যেতে পারে। পুকুরে ছাড়ার আগে এদেরকে নতুন পরিবেশের সাথে সহনশীল করে নিলে এ মৃত্যুহার অনেকাংশে রোধ করা যায়। পরিবহন পাত্রের পানির তাপমাত্রা ও পুকুরের পানির তাপমাত্রায় সমতা আনয়নই হচ্ছে পরিবেশ সহনশীলকরণ বা খাপ খাওয়ানো। নতুন পরিবেশের সাথে সহনশীল করে নার্সারি পুকুরে পিএল ছাড়ার ধারাবাহিক কাজগুলো নিম্নরূপ
- নার্সারি পুকুর পাড়ে পিএল এর ব্যাগের ভিতর দুই প্যাকেট ওরস্যালাইন বা ১০০ গ্রাম গ্লুকোজ দিতে হয়।
- যে পাত্রেই পরিবহন করা হাকে না কেন তা ১৫-২০ মিনিট পুকুরের পানিতে ভাসিয়ে রাখতে হবে।
- পুকুরে ভাসমান অবস্থায় তলার অপেক্ষাকৃত ঠান্ডা পানি হাত দিয়ে ওপরে তুলে পলিথিন ব্যাগের ওপর বৃষ্টির মতো ছিটাতে হবে।
- এরপর হাত দ্বারা পরিবহন পাত্র এবং পুকুরের পানির তাপমাত্রার ব্যবধান পরীক্ষা করতে হবে। লক্ষ্য রাখতে হবে যেন দুই অবস্থায় পানির তাপমাত্রার ব্যবধান ১-২ সে. এর বেশি না হয়।
- পরিবহন পাত্র ও পুকুরের পানির তাপমাত্রা সমান না হওয়া পর্যন্ত আস্তে আস্তে পাত্র ও পুকুরের পানি অদল বদল করে পানির তাপমাত্রায় সমতা আনতে হবে।
- উভয় পানির তাপমাত্রা সমান হলে পাত্রের মুখ কাত করে ধরে বাইরে থেকে ভেতরের দিকে স্রোতের ব্যবস্থা করতে হবে। এ অবস্থায় সুস্থ, সবল পিএল স্রোতের বিপরীতে ধীরে ধীরে বাইরে চলে যাবে।চ
পাড়ের কাছাকাছি অল্প গভীরতায়, ঘের বা পুকুরের যেখানে আশ্রয়ের ব্যবস্থা করা হয়েছে সেখানে পিএল ছাড়তে হবে। গলদা নার্সারি পুকুরে বিকেলে পিএল মজুদ করা সবচেয়ে ভালো। এ সময় পিএল মজুদ সম্ভব না হলে সকালেও মজুদ করা যেতে পারে। এ ছাড়াও ঠান্ডা আবহাওয়ায় দিনের যে কোনো সময়ে নার্সারি পুকরে পিএল ছাড়া যেতে পারে। তবে দুপুরের রোদ, মেঘলা দিন বা ভ্যাপসা আবহাওয়ায় (বিশেষত নিম্নচাপের দিনে) পুকুরে গলদার পিএল ছাড়া উচিত নয়।
জ) পিএল বাঁচার হার পর্যবেক্ষণঃ পিএল গলদা নার্সারি পুকুরে/মজুদের পর বিভিন্ন কারণে আংশিক বা সম্পূর্ণরূপে মজুদকৃত পিএল মারা যেতে পারে। সম্ভাব্য কারণগুলোর মধ্যে অন্যতম হচ্ছে
- পরিবহনজনিত পীড়ন
- শারীরিক আঘাত
- পানির বিষক্রিয়া
- হঠাৎ করে তাপমাত্রা বৃদ্ধি
- ক্ষতিকর কীট পতঙ্গের আক্রমণ, যেমন- ক্লাডোসেরা, কপিপোড।
হ্যাচারিতে উৎপাদিত পিএল-এর পুকুরের পানির লবণাক্ততার সাথে খাপ খাওয়ানোতে ত্রুটি একটি ৬ × ৪ × ৪ ঘনফুট সাইজের হাপা পুকুরের পানির বেশি গভীর স্থানে স্থাপন করতে হবে। পিএল এর পুকুরের পানিতে খাপ খাওয়ানো শেষে পানিতে ছাড়ার পূর্বে ১০০টি পোনা হাপায় রাখতে হবে।
১২ ঘণ্টা পর পর পিএল-এর হার গুণে দেখতে হবে। ২৪ ঘণ্টা পর যদি দেখা যায় ৭০-৮০ ভাগ পিএল বেঁচে আছে তবে ধরে নিতে হবে বাঁচার হার সন্তোষজনক। বাঁচার হার সন্তোষজনক হলে পুকুরে নিয়মিত সার ও খাদ্য প্রয়োগসহ অন্যান্য পরিচর্যার ব্যবস্থা নিতে হবে। আর যদি বাঁচার হার সন্তোষজনক না হয় তা হলে পিএল মৃত্যুর সঠিক কারণ নির্ধারণ ও প্রয়োজনীয় ব্যবস্থা গ্রহণের পর পুনরায় আংশিক বা নতুন করে মজুদ করতে হবে।
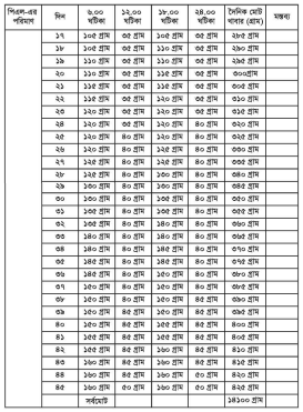
ঞ) খাদ্য প্রয়োগ মাত্রা: প্রতি শতকে ৮০০-১০০০টি পিএল মজুদ করা যায়।
১০০০০টি পিএল এর জন্য নিম্নবর্ণিত মাত্রায় গুণগত মান সম্পন্ন পিলেট খাবার প্রয়োগ করা প্রয়াজন।


এ ছাড়াও বাণিজ্যিকভাবে তৈরি পিলেট হিসেবে বাজারে প্রাপ্ত স্টার্টার-১ বা নার্সারি-১ প্রথম মাসে এবং স্টার্টার-২ বা নার্সারি-২ দেহের ওজনের ভিত্তিতে খাদ্য প্রস্তুতকারী প্রতিষ্ঠানের নির্দেশনা অনুযায়ী ব্যবহার করা যেতে পারে।
খাদ্য প্রয়োগের সময়
গলদা চিংড়ি সাধারণত আলো আধারিতে বেশি খেতে পছন্দ করে। সে কারণে সূর্যোদয়ের পূর্বে এবং সূর্যাস্তের সাথে সাথে খাদ্য প্রয়োগ করা উত্তম। তাছাড়া প্রয়োজন অনুযায়ী দুপুরে ও রাত্রেও আনুপাতিক হারে খাদ্য প্রয়োগ করা যেতে পারে। তবে সূর্যাস্তের সময় প্রয়োগকৃত খাবারের পরিমাণ বেশি হতে হবে।
খাদ্য প্রয়োগ পদ্ধতি: প্রতিদিন ফিডিং ট্রে-তে খাদ্য প্রয়োগ করতে হবে। কাঠ, বাঁশ, টিন অথবা সিনথেটিক নেট দ্বারা ফিডিং ট্রে বা খাদ্যদানী তৈরি করা যেতে পারে। পুকুরের আকার অনুযায়ী ফিডিং ট্রে-এর পরিমাণ নির্ধারণ করতে হবে। সাধারণত এক বিঘা আয়তনের একটি পুকুরের জন্য ৭-৮ টি ট্রে ব্যবহার করা উত্তম। ট্রে সাধারণত পাড়ের বকচর অথবা পুকুরের ঢালে স্থাপন করতে হবে।
নার্সারি পুকুরে পানির গুণাগুণ
নার্সারি পুকুরে পানির গুণাগুণ নিম্নরূপ হওয়া দরকারঃ
উপাদান মাত্রা
তাপমাত্রা ২৫-৩১ সে.
দ্রবীভূত অক্সিজেন ৫-৭ পিপিএম
পিএইচ ৭.০-৮.৫
বচ্ছতা ২৫-৩৫ সে.মি.
লবণাক্ততা ০-৪ পিপিটি (গলদা)
পানি ব্যবস্থাপনা
নার্সারি পুকুরে জোয়ারের সাহায্যে আংশিক এবং পাম্প মেশিনের সাহায্যে সম্পূর্ণ স্বাধীনভাবে পানি ব্যবস্থাপনা নিয়ন্ত্রণ করা যায়। এই পদ্ধতিতে জোয়ারের সময় অথবা পাম্প মেশিনের সাহায্যে জলাধারে পানি পূর্ণ করে রাখা হয় এবং প্রয়োজনানুসারে পরিমাণমতো পানি নার্সারি পুকুরে সরবরাহ করা হয়। নার্সারি পুকুরের পানির গুণাগুণ ঠিক রাখার জন্য পুকুরের পানি প্রতিদিন প্রয়াজনমতো পরিবর্তন করা যেতে পারে।
দৈনন্দিন ব্যবস্থাপনা
পিএল মজুদের পর প্রতিদিন পুকুর/ঘের পর্যবেক্ষণ করতে হবে। পানির রং হালকা সবুজ রাখার জন্য নিয়মিত পর্যবেক্ষণের মাধ্যমে প্রয়োজনে সার ব্যবহার করতে হবে। চিংড়ি খুব সকালে পাড়ে।কিনারে চলে আসলে বুঝতে হবে পুকুরে অক্সিজেন ঘাটতি আছে।
অক্সিজেন সরবরাহের জন্য অ্যালুমিনিয়ামের পাতিল দিয়ে ঢেউ দিতে হবে অথবা বাঁশ দিয়ে পিটিয়ে পানি আন্দোলিত করতে হবে। প্রয়োজনে বাইরে থেকে দূষণমুক্ত নতুন পানি সরবরাহ করতে হবে। শতক প্রতি ১৫০ গ্রাম হারে এমপি সার প্রয়োগ করলে ভালো ফল পাওয়া যায়। বিক্রির উপযোগী হলে জুভেনাইল বিক্রি করতে হবে অথবা ঘনত্ব কমিয়ে দিতে হবে।

পোনা আহরণ ও স্থানান্তর
ব্যাগনেট, ফঁদ ও হারভেস্টিং বক্স ইত্যাদির সাহায্যে নার্সারি পুকুর থেকে শতকরা ৯০ ভাগ চিংড়ি ধরা যায়। বাকি চিংড়ি পানি শুকিয়ে ধরা হয়। জোয়ার আসার দুই তিন ঘণ্টা পূর্বে পুকুরের পানি কিছুটা কমিয়ে নিতে হবে। জোয়ারের সময় পুকুরে পানি ঢুকানোর ফলে বড় পানা পানি সরবরাহ খালের নিকট চলে আসে এবং পরে খালের সুইস গেটের মুখ খুলে দিলে চিংড়ি হারভেস্টিং বক্সে চলে আসে।
এই হারভেস্টিং বক্স থেকে প্লাস্টিক বালতি দিয়ে পোনা সংগ্রহ করা হয় এবং সংগৃহীত পোনা থেকে সুস্থ ও সবল চিংড়ি বাছাই করে নিয়ে মজুদ পুকুরে স্থানান্তর করা হয়। এছাড়া অনেক সময় মজুদ পুকুর সংলগ্ন নার্সারি পুকুরের মুখ খুলে দিলে সরাসরি পোনা মজুদ পুকুরে চলে যায়।
